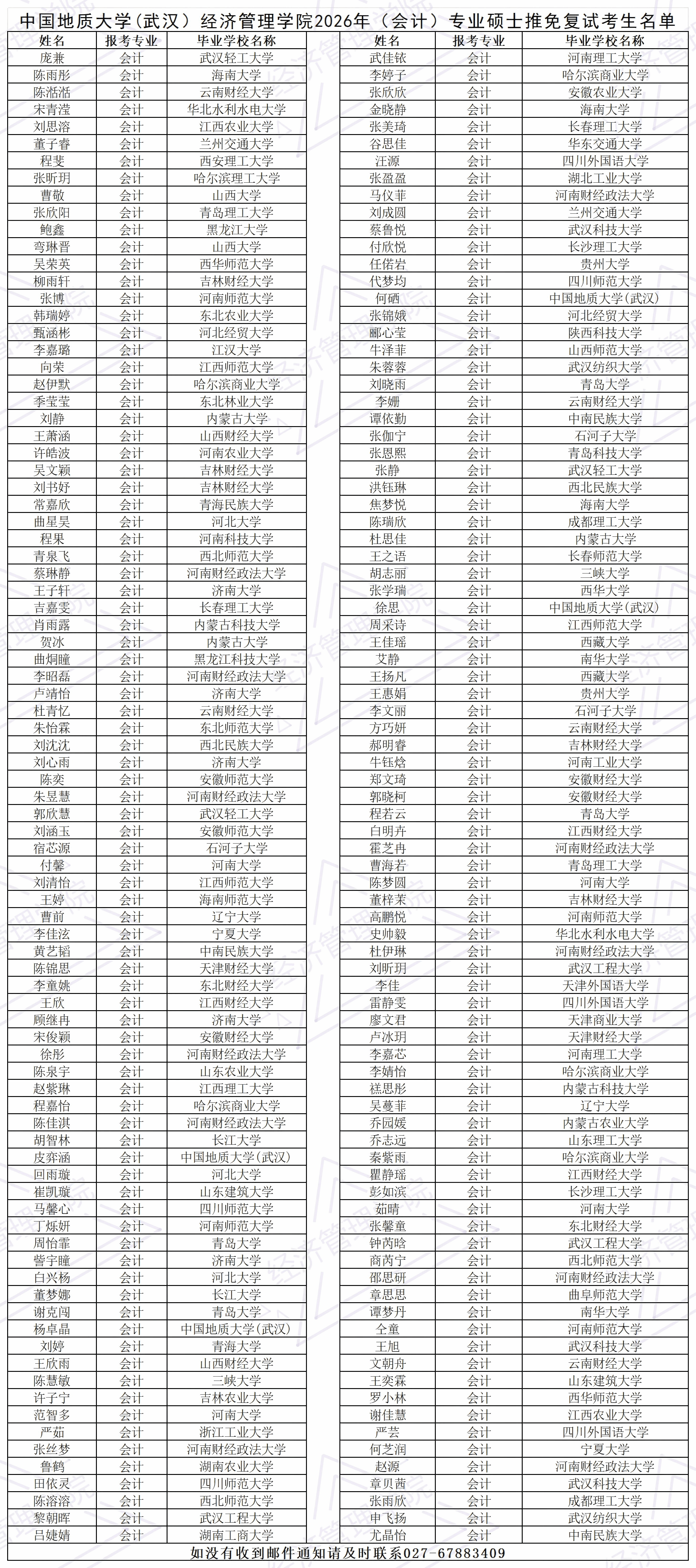
发布人:陈永佳 发布时间:2025-09-19 点击次数:
按照规定,已公示完毕。
williamhill英国 /自然资源数字经济学院 地址:湖北省武汉市东湖新技术开发区锦程街68号电话:027-67883201 邮编:430078ICP备案号:鄂ICP备05003343号